植物登陆(plant terrestrialization)是地球生命演化历史中的重大事件之一,意味着早期陆地生态系统的初级生产力基础从以细菌、藻类和地衣等类群构成的“生物结皮(biocrust)”,发展成了以陆生植物(亦称“有胚植物[embryophytes]”)为主导的绿色植被,这一过程对现代地球宜居环境的形成产生了深远影响。然而,长期以来,深入研究体系的缺乏,导致对植物登陆早期历史的系统性认识明显不足。
植物登陆的早期历史以有机质壁微体化石的形式保存在了早古生代至泥盆纪早期形成的地层中。这些化石构成了相关实证研究的基础。与其它早期陆生植物微体化石相比,隐孢子在地层中出现较早,且地史跨度长、空间分布广,使其成为探索植物登陆早期历史的关键研究对象。
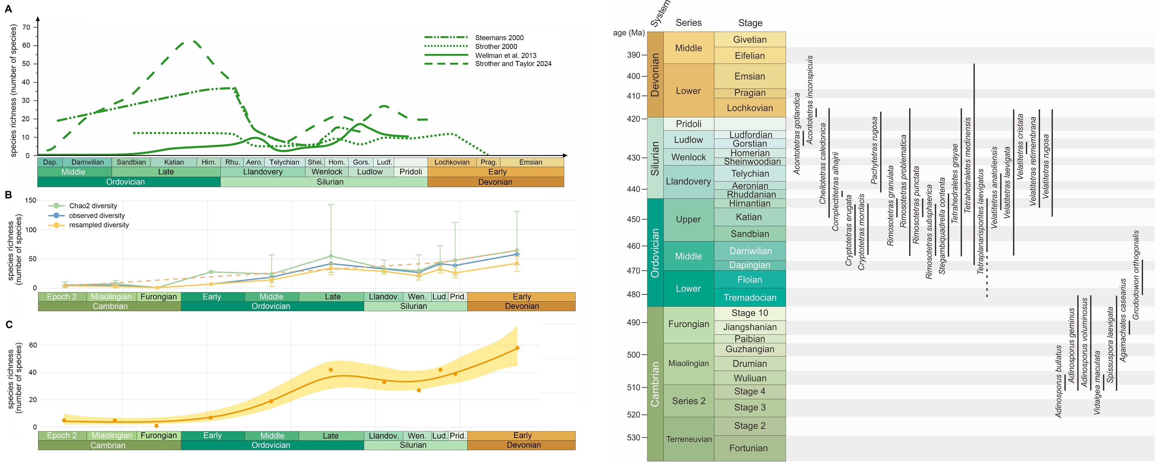
近日,中国科学院南京地质古生物研究所特别研究助理王凯博士,与研究员徐洪河、刘炳材博士和研究员王怿,梳理了自1971年相关研究正式开展以来,全球范围内积累的隐孢子化石记录。对这一化石类群在形态、分类、亲缘关系、生物地层与演化意义等方面取得系统性认识,并采用Chao2指数、广义加性模型、非度量性多维标度变换、网络分析和SIMPER分析等方法,综合研究了长时间尺度下的隐孢子多样性变化和早期孢子组合的古地理分异。相关成果近日以长篇幅论文的形式发表于国际地学期刊《地球科学评论》(Earth-Science Reviews)。
迄今,隐孢子存在狭义和广义两种截然不同的定义,前者认为隐孢子仅来自有胚植物,而后者将来自链型藻类(与陆生植物的起源密切相关)的孢型化石也包含在内(目前已知记录仅来自美国和中国的寒武系,以及澳大利亚下奥陶统)。学术界普遍认可的最古老隐孢子来自沙特阿拉伯和阿根廷的中奥陶统。截至目前,全球范围内已发现36属102种隐孢子(广义),现行的分类学依据主要来自孢体数量、孢体是否具外膜包裹,以及表面装饰和孢壁结构。来自志留纪晚期至泥盆纪早期的始植物(eophytes)原位保存的孢子表明,隐孢子的母体植物可能是维管植物的基部干群,不过,考虑到更古老的奥陶纪分散孢子记录,无法完全排除这些早期植物作为有胚植物干群而存在的可能性。
研究认为,现有化石的形态多样性和地理分布表明,晚奥陶世是早期陆生植物演化的首个辐射期。至志留纪早期,全球陆生植物群落的面貌已开始出现地理分化。随着早期三缝孢的出现和多样化,在志留纪中晚期,这种地理分化变得更加显著,而在此期间,隐孢子未显示出进一步的形态多样化。尽管处于其演化历史的晚期,早泥盆世仍然是隐孢子母体植物的一个重要繁盛期。
研究进一步指出,隐孢子古地理分布格局暗示了最早的陆生植物类群具有较强的生态适应性,从赤道到高纬度气候区均有出现,并且,这一特征贯穿了中奥陶世至早泥盆世的植物登陆过程。然而,自中泥盆世以后,即使在来自陆相沉积的高丰度和高分异度的孢子组合中,也难觅隐孢子的踪影。今后对隐孢子化石记录的深入发掘与分析,以及跨学科视域下的融合研究,将进一步发展和完善早期植物由水生向陆生演化的现有理论体系,破解更多植物登陆历史的谜团。
该项工作为认识植物早期登陆历史,提供了来自微体化石记录的全景式证据,同时,搭建了面向未来的早期陆生植物微体化石研究的多层次框架。研究成果为对植物登陆感兴趣的化石爱好者、本领域的专业研究者,以及交叉学科的合作者提供了一站式的参考资料。
本研究得到了科技部国家重点研发计划“植物登陆及其资源环境效应”项目的支持与资助。
相关论文信息:
Wang, K., Xu, H.H.*, Liu, B.C., Wang, Y. (2026). Dynamic evolution of cryptospores: The origin and rise of the land flora.Earth-Science Reviews, 105476. https://doi.org/10.1016/j.earscirev.2026.105476
Wang, K., Xu, H.H.*, Yin, L.M. (2026). Cryptospores from the Shipai Formation (Cambrian Series 2, Stage 4) of Yichang, southern China. Palynology. https://doi.org/10.1080/01916122.2025.2589185

隐孢子各个形态类型的代表性化石标本

隐孢子的形态分类体系

隐孢子的多样性变化曲线(图左)和地层延限分布(图右)

隐孢子的古地理分布(图左)和早期孢型化石组合的非度量性多维标度变换、SIMPER分析结果(图右)
附件下载: