冷水珊瑚是深海中的“自然档案”,其骨骼中记录的地球化学信息是重建长期、高分辨率古海洋环境的关键。近年来,Li/Mg比值作为一项新兴的古海水温度指标受到广泛关注,但其在不同骨骼结构间的差异及背后的生物矿化机制尚不明确,这影响了该指标在温度重建中的应用。
近日,中国科学院南京地质古生物研究所博士后刘倩、副研究员李涛与上海交通大学副教授陈桑等组成的项目合作团队,在冷水珊瑚古温度计生物控制机制研究方面取得重要进展。研究系统揭示了冷水珊瑚不同骨骼结构中Li/Mg比值存在显著差异。相关成果发表于国际权威期刊《地球和行星科学快报》(Earth and Planetary Science Letters)。
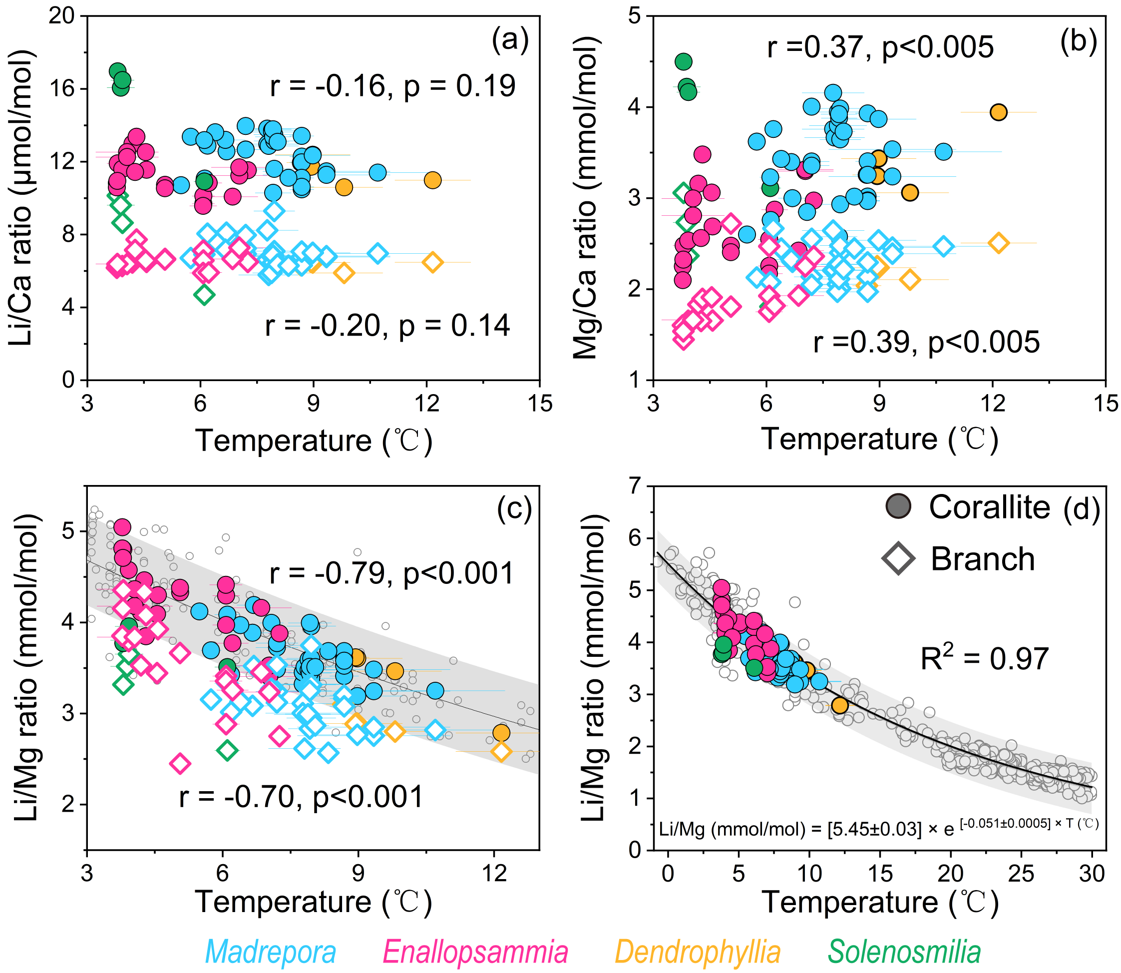
研究团队系统分析了来自北大西洋、赤道大西洋及东赤道太平洋的60株现代枝状冷水珊瑚,对比了其顶部珊瑚杯与主干最外层骨骼中的多种微量元素比值。结果发现,珊瑚杯骨骼中的Li/Ca、Mg/Ca、B/Ca及Li/Mg比值均显著高于主干骨骼,而Sr/Ca和U/Ca则呈相反趋势。
为探究差异成因,研究团队结合珊瑚生物矿化模型进行了深入验证。在排除钙化中心的影响后,结合模型分析和已有模拟实验数据,研究确认骨骼生长速率的差异是导致Li/Mg比值在珊瑚不同部位发生分异的主要原因。这一发现对于提升Li/Mg指标在古海洋温度重建中的应用精度具有重要意义。
研究明确提示,在使用枝状冷水珊瑚开展古温度重建时,必须严格规范采样部位,统一使用珊瑚杯或主干等特定骨骼结构,以消除因生长速率不同引入的系统误差。该认识对今后建立更可靠、统一的Li/Mg – 温度校准曲线至关重要,有助于显著降低古温度重建的不确定性,推动高分辨率古海洋环境研究走向精准化。
本研究得到重点研发计划青年项目和国家自然科学基金的资助。
相关论文信息:Liu,Q., Stewart,J.A., Robinson,L.F., Chen,S.*, Wang,M., Chen,T., Li,T.*, 2026. Colonial cold-water coral Li/Mg palaeothermometry: Influence of growth rate and skeletal heterogeneity. Earth Planet. Sci. Lett. 674, 119743. https://doi.org/10.1016/j.epsl.2025.119743.

现代枝状冷水珊瑚采集位置及不同骨骼采样示意图

不同种属的珊瑚杯和主干的元素比值差异及其与温度的关系

珊瑚不同骨骼的SEM照片(a)珊瑚杯(b)主干以及生长速率对Li/Mg比值的影响
附件下载: